文件下载 | 名称:《天津特别市公署*撮要》电子版合集 | |
| 关键词:条令条例,*, | ||
| 出版地区:nan 1941年 | 文件大小:73.12 MB | |
| 原始格式:db数据库 | 导出格式:png | |
| 下载方式:百度网盘、夸克网盘、阿里云盘、123云盘 | ||
| 网盘路径:/时光图书馆珍藏系列/书籍文件/老图书/《天津特别市公署*撮要》电子版合集.db | ||
| 提示:也支持在线观看,安装阅读器即可,无需额外下载书籍文件。 | ||
| 下载地址: ★阅读器★ 百度网盘 阿里云盘 123云盘 夸克网盘 | ||
内容截图:(图片有压缩,网盘下载后更清晰)


内容清单:
1-文献信息
10-第四章_财政-1
10-第四章_财政-2
11-第五章_教育
12-第六章_工务-1
12-第六章_工务-2
13-第七章_卫生
14-第八章_公用
15-第九章_宣传
16-(二)章则-1
16-(二)章则-2
18-其他
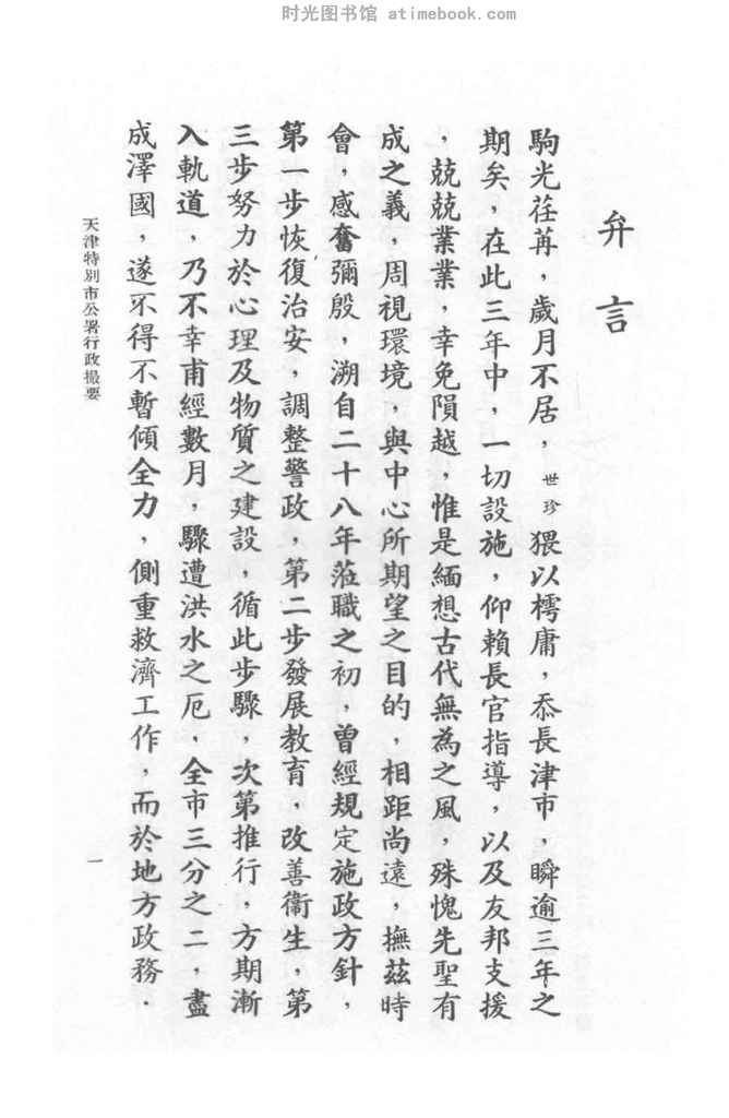
2-弁言
3-凡例
4-照片
5-天津特别市公署组织系统表
6-上编_二十九年度-01
6-上编_二十九年度-02
6-上编_二十九年度-03
6-上编_二十九年度-04
6-上编_二十九年度-05
6-上编_二十九年度-06
6-上编_二十九年度-07
6-上编_二十九年度-08
6-上编_二十九年度-09
6-上编_二十九年度-10
6-上编_二十九年度-11
7-第一章_总务
8-第二章_社会
9-第三章_警察
