文件下载 | 名称:《毛泽东论知识分子》电子版合集 | |
| 关键词:--, | ||
| 出版地区:nan 1949年4月1日 | 文件大小:12.26 MB | |
| 原始格式:db数据库 | 导出格式:png | |
| 下载方式:百度网盘、夸克网盘、阿里云盘、123云盘 | ||
| 网盘路径:/时光图书馆珍藏系列/书籍文件/老图书/《毛泽东论知识分子》电子版合集.db | ||
| 提示:也支持在线观看,安装阅读器即可,无需额外下载书籍文件。 | ||
| 下载地址: ★阅读器★ 百度网盘 阿里云盘 123云盘 夸克网盘 | ||
内容截图:(图片有压缩,网盘下载后更清晰)


内容清单:
1-文献信息
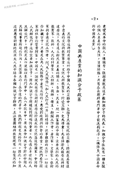
2-毛泽东论知识分子-1
2-毛泽东论知识分子-2

华县县志稿十七卷:卷十三》电子版合集](https://atimebook.com/wp-content/uploads/书籍截图/info-《[民国](重修)华县县志稿十七卷:卷十三》电子版合集/0_253x169.jpg)
华县县志稿十七卷》电子版合集](https://atimebook.com/wp-content/uploads/书籍截图/info-《[民国](重修)华县县志稿十七卷》电子版合集/0_253x169.jpg)
![老图书–《[民国]广两曲志二编》电子版合集](https://atimebook.com/wp-content/uploads/书籍截图/info-《[民国]广两曲志二编》电子版合集/0_253x169.jpg)
卢骚民论约》电子版合集/0_253x169.jpg)